بسیاری از فرآیندهای طبیعی و غیرطبیعی در زندگی روزمره و حتی در صنایع با استفاده از بازخورد یا فیدبک سیستم به نتیجه صحیح خواهند رسید.
زمانی که از فیدبک در یک سیستم استفاده کنیم می توانیم مطمئن شویم که پاسخ یا همان خروجی سیستم به مقدار مورد انتظار چقدر نزدیک است؟
اگر می خواهید بدانید که فیدبک چیست و چه کاربردی دارد، این مقاله را مطالعه نمایید.
1# فیدبک چیست؟
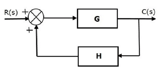
فیدبک فرآیندی است که در آن بخشی از خروجی سیستم به منظور تنظیم بیشتر خروجی به ورودی خود باز می گردد.
ما در هر لحظه در حال دریافت فیدبک هستیم.
اگر بخواهید یک فنجان را از روی میز بردارید، از کجا تشخیص می دهید که دستتان به اندازه کافی به فنجان نزدیک شده یا نه؟
برای برداشتن این فنجان، شما از حواس خود استفاده می کنید تا اطلاعاتی کسب کنید و فنجان را بردارید.
در دفعه اولی که تلاش می کنید فنجان را بردارید، اطلاعاتی کسب می کنید که براساس آن تلاش بعدی خود را تنظیم می کنید.
به این اطلاعات کسب شده فیدبک می گویند.
به بیان دیگر فیدبک به این معنی است که در یک زنجیره، خروجی یک سیستم به عنوان یکی از ورودی ها به سیستم وارد شود و
در خروجی مرحله بعد تاثیر بگذارد.

می توان گفت که سیستم در واقع از خروجی خود به عنوان ورودی تغذیه می کند.
2# انواع مختلف فیدبک
فیدبک ها به صورت کلی 2 دسته اصلی مثبت و منفی دارند که در ادامه ویژگی های هر یک را بررسی می کنیم.
1-2# فیدبک مثبت چیست؟
اگر سیگنالی که از خروجی به ورودی برمی گردد هم فاز با ورودی باشد، سیستم، فیدبک مثبت دارد.
فیدبک مثبت سیگنال ورودی را تقویت می کند و این تقویت ممکن است تا جایی پیش برود که مدار در حالت نوسانی قرار بگیرد.
یعنی خروجی سیستم بین دو حالت ماکسیمم و مینیمم نوسان کند.
در فیدبک مثبت، مدار نسبت به حالت بدون فیدبک بهره بیشتری دارد.
در برخی شرایط، فیدبک مثبت ممکن است باعث شود دستگاه به مرحله لچ برسد.
به این معنی که به وضعیتی برسد که در آن خروجی در حالت حداکثر یا حداقل خود قفل شود.
این اتفاق به طور گسترده در الکترونیک دیجیتال استفاده می شود.
2-2# فیدبک منفی چیست؟
اگر سیگنالی که از خروجی به ورودی برمی گردد از نظر فازی 180 درجه با ورودی اختلاف داشته باشد، سیستمی با فیدبک منفی خواهیم داشت.
فیدبک منفی اثر فرسایشی داشته و باعث کاهش بهره مدار می شود.
از فیدبک منفی می توان برای اصلاح خطاهای خروجی یا غیر حساس سازی سیستم در برابر
نوسانات ناخواسته و پایداری بیشتر مدار استفاده کرد.
برای یک مثال از فیدبک منفی می توان به سیستم کنترل کروز یک اتومبیل اشاره کرد.
هدف در این سیستم کنترلی، نگه داشتن ماشین در یک سرعت ثابت است.
ورودی این سیستم ترکیبی از وضعیت موتور ماشین و شیب جاده است.
سرعت ماشین با یک سرعت سنج اندازه گیری می شود.
سیگنال خطا در این سیستم، میزان تفاوت سرعت ماشین از سرعت مطلوبی است که برای ماشین تعریف شده است.

این خطای اندازه گیری شده توسط کنترل کننده دریافت می شود تا با کمک آن و بسته به سرعت مورد نیاز، جریان سوخت به موتور ماشین تغییر کند.
3# محدودیت های فیدبک چیست؟
سیستم های ساده به راحتی در دسته بندی سیستم مثبت و منفی تقسیم می شوند.
اما سیستم های پیچیده تر با حلقه های فیدبکی به راحتی در این دسته بندی جای نمی گیرند؛ خصوصا در سیستم هایی که چندین حلقه وجود دارد.
در حالت کلی، سیستم های فیدبکی می توانند سیگنال های فیدبکی مثبت و منفی متعددی داشته باشند.
در هر زمان، بسته به فرکانس کاری سیستم، فیدبک مثبت یا منفی می تواند در سیستم غالب باشد.
بعضی سیستم های فیدبکی رفتار خیلی پیچیده ای دارند، مثل سیستم های غیر خطی.
با این وجود، بعضی دیگر سیستم ها رفتار کاملا پیش بینی شده ای دارند.
این سیستم ها، سیستم هایی هستند که در طراحی و ساخت سیستم های دیجیتالی به کار می روند.

در سیستم های ساده، ویژگی های فیدبکی و اطلاعات ناشی از آن بسیار حایز اهمیت هستند چون درباره کل سیستم اطلاعات خوبی به ما می دهند.
اما زمانی که سیستم پیچیده تر می شود، اگر هر بخش بر روی بقیه قسمت ها اثر بگذارد، شناخت فیدبک سخت شده و
اطلاعات فیدبک های بین هر دو بخش برای دانستن نوع فیدبک کل سیستم کافی نخواهد بود.
4# اثرات فیدبک چیست؟
1- بهره کلی سیستم
بسته به فرکانس کاری سیستم، اضافه کردن فیدبک به سیستم ممکن است باعث کاهش یا افزایش بهره کلی سیستم شود.
2- حساسیت
افزودن فیدبک در بعضی فرکانس ها باعث افزایش حساسیت سیستم و در دیگر فرکانس ها باعث کاهش حساسیت سیستم می شود.
3- پایداری
با انتخاب دقیق فیدبک می توان خروجی سیستم را کنترل کرد و سیستم پایداری داشت.
4- نویز
در فیدبک مثبت، به دلیل خاصیت تقویت کنندگی این فیدبک، اگر نویزی به سیستم وارد شود، تقویت می شود.
5# کاربرد های فیدبک چیست؟
1-5# هواشناسی
سیستم های تشخیص آب و هوایی دارای حلقه های فیدبک مثبت و منفی قوی هستند.
از این فیدبک در فرآیندهای تشخیص وضعیت جو اقیانوس و زمین استفاده می شود.

یک مثال ساده، حلقه فیدبک مثبت یخ-آلبدهو است که ذوب برف باعث نمایان شدن بخش های تیره بیشتری از زمین می شود.
همین بخش های تیره گرما را جذب می کنند و باعث ذوب بیشتر برف می شوند.
2-5# زیست شناسی
اما کاربرد فیدبک در زیست شناسی چیست؟
در سیستم های بیولوژیکی، اکثر پارامترها باید تحت شرایط خاصی در یک محدوده حول یک مقدار معلوم تحت کنترل باشند.

انحراف یک پارامتر از مقدار مطلوب می تواند ناشی از تغییر در پارامتر های محیطی داخلی و یا خارجی باشد.
نمونه ای از این سیستم ها، روند نوسانات انسولین در بدن است.
در سیستم های بیولوژیکی، مثبت و منفی بدان معنی نیست که فیدبک اثر مثبت یا منفی دارد.
یک حلقه فیدبک منفی روشی است که تمایل به کند کردن یک روند دارد.
در حالی که حلقه بازخورد مثبت تمایل به تسریع آن دارد.
3-5# مهندسی الکترونیک
کاربرد فیدبک در طراحی اجزای الکترونیکی بسیار گسترده است.
مثل تقویت کننده ها، اسیلاتورها، مدارات منطقی مثل فلیپ فلاپ ها و شمارنده ها.

شرایط هر مدار با تغییر یک سری از پارامتر ها تغییر می کند.
برخی مدارها توان حذف اثر این تغییرات ناخواسته را ندارند.
در این مدارات، با اضافه کردن فیدبک، تاثیر این پارامتر ها حذف و یا تا حد خوبی کاسته می شود.
در حقیقت در مدارات فیدبکی، از خروجی نمونه ای گرفته می شود و به ورودی سیستم داده می شود.
با این کار سیستم می تواند به کمک آن سیگنال خطا را محاسبه کرده و تلاش کند تا با کاهش این سیگنال، در حالت مطلوب خود کار کند.
همین امر باعث می شود که پاسخ مدارات بدون فیدبک با مدارات فیدبک دار تفاوت فاحشی داشته باشند.
1) کاربرد فیدبک در مولتی ویبراتور چیست؟
حلقه های فیدبکی در الکترونیک برای کنترل خروجی دستگاه الکترونیکی استفاده می شوند؛ مثل تقویت کننده ها.
زمانی که دو یا چند تقویت کننده با فیدبک مثبت به هم متصل شوند، رفتار های پیچیده ای خواهند داشت که به آن ها مولتی ویبراتور گقته می شود.
مولتی ویبراتور ها کاربرد های فراوانی دارندو شامل 3 دسته اند:
1- مدارات آستابل، که به عنوان نوسان ساز هستند.

2- مدارات مونواستابل، که یک حالت پایدار دارند و اگر در حالت دیگری باشند، پس از مدتی به حالت پایدار خود باز می گردند.

3- مدارات بای استابل، که دو حالت پایدار دارند که مدار بین این دو حالت تغییر می کند.

2) کاربرد فیدبک در اسیلاتور چیست؟
یک اسیلاتور یا نوسان ساز الترونیکی، یک مدار الکترونیکی است که
یک موج نوسانی دوره ای (غالبا موج سینوسی و یا موج مربعی) تولید می کند.
نوسان ساز جریان مستقیم را به جریان متناوب تبدیل می کند.
اسیلاتورها اغلب توسط فرکانس سیگنال خروجی خود مشخص می شوند:
1- اسیلاتور فرکانس پایین (LFO) یک نوسان ساز الکترونیکی است که فرکانس هایی زیر 20 هرتز تولید می کند.
این اسیلاتور غالبا در تولید کننده صوتی مورد استفاده قرار می گیرد تا آن را از یک اسیلاتور فرکانس صوتی متمایز کند.
2- یک نوسان ساز صوتی که فرکانس هایی را در محدوده صوتی (در حدود 16 هرتز تا 20 کیلوهرتز) ایجاد می کند.
3- یک نوسان ساز RF که سیگنال هایی را در فرکانس رادیویی (RF) در حدود 100 کیلوهرتز تا 100 گیگاهرتز تولید می کند.
2) کاربرد فیدبک در لچ و فلیپ فلاپ چیست؟
یک لچ یا یک فلیپ فلاپ مداری است که دو حالت پایدار دارد و
برای ذخیره اطلاعات حالت ها به کار می رود.
لچ ها و فلیپ فلاپ ها ساختار اساسی سیستم های الکترونیکی دیجیتالی هستند که
در رایانه ها، ارتباطات و بسیاری از انواع دیگر سیستم ها به کار می روند.
فلیپ فلاپ ها می توانند ساده یا با کلاک باشند.
اگرچه اصطلاح flip-flop به طور کلی به مدارهای ساده و
کلاک دار گفته می شود.
اما امروزه اصطلاح flip-flop منحصراً برای بحث در مورد مدارهای کلاک دار به کار می رود.
مدار های ساده و بدون کلاک معمولا لچ نامیده می شوند.
6# فواید استفاده از فیدبک در مدارات الکترونیکی چیست؟
1- کنترل بهتر بهره سیستم و پاسخ مدار
2- کاهش تاثیر شرایط مدار همچون دما روی پارامترهای آن
3- کاهش تاثیر اعوجاجات ناشی از عناصر غیر خطی مدار روی پاسخ مدار
4- کنترل پاسخ فرکانسی (Frequency Response) و پهنای باند مدار (Bandwidth)
7# انواع فیدبک در مدارات الکترونیک
1-7# فیدبک سری – موازی (فیدبک ولتاژ) چیست؟
در این مدل، سیگنال فیدبک با ورودی سری است.
در این سیستم ها، هم سیگنال ورودی و هم سیگنال خروجی از جنس ولتاژ هستند.
این سیستم ها در واقع یک تقویت کننده ولتاژند.

2-7# فیدبک موازی – سری (جریان موازی) چیست؟
در این مدل، سیگنال فیدبک با ورودی موازی است.
در این سیستم ها، هم سیگنال ورودی و هم سیگنال خروجی از جنس جریان هستند.
این سیستم ها در حقیقت تقویت کننده جریانند.

3-7# فیدبک سری – سری (جریان سری) چیست؟
در این سیستم، خروجی از جنس جریان و ورودی از جنس ولتاژ است.
این مدار جریان خروجی را به ولتاژ تبدیل کرده و به عنوان سیگنال فیدبک به ورودی تحویل می دهد.
در این مدار، سیگنال فیدبک به صورت سری با ورودی قرار می گیرد.

4-7# فیدبک موازی – موازی (ولتاژ موازی) چیست؟
در این سیستم، خروجی از جنس ولتاژ و ورودی از جنس جریان است.
این مدار، ولتاژ خروجی را به جریان تبدیل کرده و
به عنوان سیگنال فیدبک به ورودی تحویل می دهد.
در این مدار، سیگنال فیدبک به صورت موازی با ورودی قرار می گیرد.

![]() |
نظرتون درباره این مقاله چیه؟
ما رو راهنمایی کنید تا اون رو کامل تر کنیم و نواقصش رو رفع کنیم.
توی بخش دیدگاه ها منتظر پیشنهادهای فوق العاده شما هستیم.






سلام خیلی عالی توضیح دادید .ممنون
سلام جناب تقی پور رودسری
سپاس از محبت و لطف شما
موفق باشید
سلام و خسته نباشید بابت مقالهی خوبتون فقط یه نکته اینکه فکر میکنم مدار رسم شده برای فیدبک موازی_سری درست نباشه
سلام همراه گرامی
تشکر از محبتی که به ما دارید
از شما بابت دقت نظرتون بسیار متشکریم، فرمایش شما کاملا صحیح بود و تصویر فیدبک موازی – موازی به اشتباه در این بخش قرار داده شده بود که اصلاح شد
موفق باشید
ممنون از شما
سلام مهندس
سپاس بیکران بابت زمانی که برای درج نظر لطف خودتون در سایت ما قرار دادید.
موفق باشید.
سلام خدمت شما بزرگوار
از همراهی شما با تیم نماتک سپاسگزار هستیم.
موفق باشید.
خدا قوت
دست مریزاد
سلام همراه محترم
سپاس از محبت شما
موفق باشید
سلام.
وعرض تبریک سال نو . ممنونم که به دیگران کمک میکنید .
زنده باشی .
سلام مهندس
سال نوی شما هم مبارک
سپاس از محبت و انرژی و دلگرمی خوبتون
همواره موفق باشید