فیلترها همانطور که از نامشان پیداست برای حذفق اغتشاشات و اختلال ها استفاده می شوند و
فیلتر پایین گذر نیز یکی از پرکاربردترین انواع آن هاست.
شناخت فیلتر های ساده و در عین حال کاربردی پایین گذر برای هر علاقه مندی به این حوزه ضروری است.
در این مقاله سعی داریم به زبان ساده به بررسی این نوع از فیلترها، کاربرد و ساختار آن ها بپردازیم.
1# فیلتر پایین گذر چیست؟ (Low Pass Filter)
![]() |
فیلتر پایین گذر یا LPF، فیلتری است که سیگنال هایی را با فرکانس کمتر از فرکانس قطع (فرکانس تعیین شده) منتقل می کند و
دامنه عبور سیگنال های با فرکانس بالاتر از فرکانس قطع را کاهش می دهد.
این فرکانس به طور دقیق در محلی واقع شده است که دامنه سیگنال خروجی 70 درصد دامنه سیگنال ورودی می باشد.
میزان دقیق فرکانس فیلتر به طراحی فیلتر بستگی دارد.
این فیلتر مکمل یک فیلتر بالا گذر یا High Pass Filter است.
این فیلتر ها در اشکال مختلفی وجود دارند، از جمله:
- مدارهای الکترونیکی مانند فیلتر نویز در صدا
- فیلتر هایی برای بهینه سازی سیگنال ها قبل از تبدیل آنالوگ به دیجیتال
- فیلتر های دیجیتال برای هموارسازی و استخراج الگوی مجموعه داده ها
- عایق صوتی
- تاری تصاویر و غیره
فیلتر های پایین گذر فرم نرم تری از سیگنال ایجاد می کنند، نوسانات کوتاه را برطرف می کنند و
نوسانات با فرکانس بالا را نادیده می گیرند.
طراحان فیلتر اغلب از فرم پایین گذر به عنوان فیلتر نمونه اولیه استفاده می کنند.
یعنی یک فیلتر با پهنای باند و امپدانس واحد.
فیلتر موردنظر از طریق مقیاس گذاری برای امپدانس و تبدیل به میزان باند موردنظر، از نمونه اولیه به دست می آید.
این فیلتر های ایجاد شده ممکن است فیلتر پایین گذر (Low-Pass)، بالا گذر (High-Pass)، میان گذر (Band-Pass) و حذف باند (Band-Stop) باشد.

2# انواع فیلتر پایین گذر
همانطور که گفته شد، این فیلتر، مداری است که عبور آسان سیگنال های با فرکانس پایین و عبور دشوار سیگنال های با فرکانس بالا را ارائه می دهد.
به طور کلی دو نوع مدار اساسی براساس اجزای سازنده فیلتر وجود دارد که قادر به تحقق این هدف است و
تفاوت های بسیاری در هر یک وجود دارد:
- فیلتر القایی
- فیلتر خازنی
1-2# فیلتر القایی (Inductive Low-Pass Filter)

در این نوع از فیلتر های پایین گذر، امپدانس سلف با افزایش فرکانس افزایش می یابد.
این امپدانس بالا در حالت سری (series)، از رسیدن سیگنال های با فرکانس بالا به بار جلوگیری می کنند.
2-2# فیلتر خازنی (Capacitive Low-Pass Filter)

در این نوع از فیلتر های پایین گذر، امپدانس خازن با افزایش فرکانس کاهش می یابد.
این امپدانس کم به موازات مقاومت بار، باعث کوتاه شدن سیگنال های با فرکانس بالا می شود و
بیشتر ولتاژ را در مقاومت کاهش می دهد.
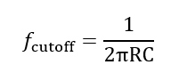
رابطه محاسبه فرکانس قطع این فیلتر ها مطابق زیر است:
3# تفاوت فیلتر های پایین گذر القایی و خازنی
فیلتر پایین گذر القایی بسیار ساده است و تنها از یک جز تشکیل شده است.
البته نسخه خازنی این فیلتر نیز چندان پیچیده نیست و فقط به یک مقاومت و خازن برای کار نیاز است.
با این وجود، علی رغم افزایش پیچیدگی، طراحی فیلتر های خازنی معمولا بر القایی ترجیح داده می شوند زیرا
خازن ها به دلیل واکنش واضح تر، قابل پیش بینی هستند.
به این دلیل که خازن ها نسبت به سلف ها مقاومت داخلی کمی نشان می دهند و
این موضوع آن ها را تقریبا 100٪ واکنش پذیر می کند.
خازن ها همچنین تمایل دارند تا کمتر از طریق میدان های الکتریکی یا مغناطیسی متقابل از سایر اجزا تداخل ایجاد کنند، بنابراین هزینه کمتری دارند.
با این حال، فیلتر القایی غالبا در منابع تغذیه AC-DC برای فیلتر کردن شکل موج AC استفاده می شود که
هنگام تبدیل یا اصلاح AC به DC کاربرد دارد.
دلیل اصلی این امر نیاز به مقاومت کم فیلتر برای خروجی چنین منبع تغذیه ای است.
یک فیلتر خازنی به یک سری مقاومت اضافی با منبع نیاز دارد، در حالی که فیلتر های پایین گذر القایی اینگونه عمل نمی کند.
در طراحی یک مدار با جریان بالا مانند منبع تغذیه DC که مقاومت سری اضافی در آن نامطلوب است، فیلتر القایی انتخاب بهتری برای طراحی است.
از طرف دیگر، اگر وزن کم و اندازه جمع و جور نسبت در طراحی منبع تغذیه اولویت بیشتری داشته باشد،
استفاده از فیلتر خازنی پایین گذر ممکن است منطقی تر باشد.
4# کاربرد فیلتر پایین گذر
یکی از کاربردهای مکرر فیلتر خازنی پایین گذر در طراحی مدارهایی است که
دارای اجزا یا مقاطع حساس به نویز الکتریکی هستند.
به این دلیل که گاهی اوقات سیگنال های AC می توانند از طریق القا متقابل بین دو مجموعه رسانا از یک مدار به مدار دیگر متصل و دچار همپوشانی شوند.
یک مثال برجسته در این مورد تأثیرگذاری سیگنال های AC ناخواسته (نویز) در خطوط برق DC است.
شکل زیر این مشکل را نمایش می دهد.

در شکل بالا نویز با ظرفیت ولتاژ و القا متقابل به برق DC خالص متصل می شود.
اسیلوسکوپ در سمت چپ، برق بدون نویز از منبع ولتاژ DC را نشان می دهد؛
اما در سمت راست، پس از اتصال با منبع نویز AC، ولتاژ اندازه گیری شده در پایانه های بار، اکنون ترکیبی از AC و DC است.
اگر بخواهیم از رسیدن این نویز به بار DC جلوگیری کنیم، تمام کاری که باید انجام دهیم این است که
یک فیلتر پایین گذر را در نزدیکی بار وصل کنیم تا سیگنال های دیگر را مسدود کند.
در ساده ترین شکل، این عمل اتصال مستقیم یک خازن از طریق ترمینال های برق است،
خازن به عنوان یک امپدانس بسیار کم نسبت به هر نویز AC عکس العمل نشان داده و آن را کوتاه می کند.
به چنین خازنی، خازن جداکننده گفته می شود، که اندازه این خازن ها معمولا 0.1 میکرومتر یا بیشتر است.
5# فیلتر پایین گذر اکتیو
این نوع فیلترهای شرح داده شده به فیلترهای پایین گذر پسیو معروف هستند.
نوع پایین گذر اکتیو به سادگی فقط با اضافه کردن یک آپ امپ به مدار فیلتر پسیو ایجاد می شود.
نوع عملکرد این فیلتر عینا مشابه سیستم های پسیو است با این تفاوت که
میزان دامنه خروجی توسط op amp تقویت می شود.
نظرتون درباره این مقاله چیه؟
ما رو راهنمایی کنید تا اون رو کامل تر کنیم و نواقصش رو رفع کنیم.
توی بخش دیدگاه ها منتظر پیشنهادهای فوق العاده شما هستیم.





سلام
مطلب خوبی هست ولی غلط املایی دارد. درصورت امکان اصلاح کنید.
سلام جناب پیری
ضمن تشکر از همراهی شما با سایت نماتک، ممنون میشیم این نکته ای که با دقت نظرتون متوجه شدید رو اطلاع بدید تا بخش ویرایش محتوا اون رو تصحیح کنند
موفق باشید
کلی نوشته بود.
سلام جناب حاجیان
سال نو مبارک
ممنون از همراهی شما
اهداف نوشتن مقالات ما معرفی کلی و ابتدایی درباره یک موضوع هست که به تبع میشه درباره هریک از این موضوعات ده ها هزار کلمه مطلب نوشت، اما از حوصله عموم مخاطبین ما خارج هست
موید باشید
خیلی خوب بود ممنون من از مطالب شما استفاده کردم و یکی ساختم خیلی هم خوب در اومد تشکر
سلام همراه گرامی
از شما صمیمانه متشکریم و بسیار خوشحالیم که این مطلب تا این مقدار برای شما مفید و موثر واقع شده
موفق باشید
عالی بود
سلام همراه گرامی
ممنون از نظر محبت آمیزتون
موفق باشید