اضافه کاری فقط چند ساعت بیشتر ماندن سر کار نیست؛ بلکه پلی است میان نیاز مالی کارکنان و اهداف فوری سازمان.
برای بسیاری از کارمندان، اضافه کاری فرصتی است تا درآمد بیشتری کسب کنند و برای کارفرمایان راهی است برای پیشبرد سریعتر پروژهها یا جبران کمبود نیرو.
به همین دلیل است که اضافه کاری همواره بخشی جدایی ناپذیر از دنیای کار بوده است؛ اما روی دیگر ماجرا را نباید نادیده گرفت.
وقتی ساعات کار اضافه بدون برنامه ریزی یا رعایت اصول قانونی باشد، نتیجهای جز خستگی، افت کیفیت کار و حتی نارضایتی کارکنان ندارد.
قانون کار نیز دقیقاً برای همین موضوع وارد عمل شده و چارچوبهایی مثل محدودیت ساعات مجاز، دستمزد بالاتر از نرخ عادی و شرط رضایت کارگر را تعیین کرده است.
پس اضافه کاری تنها یک انتخاب ساده نیست؛ بلکه توازنی هوشمندانه میان درآمد، سلامت و بهرهوری است.
در این مقاله به بررسی موارد زیر میپردازیم:
- اضافه کاری چیست؟
- علل اهمیت اضافه کاری چیست؟
- راههای بهینه سازی اضافه کاری چیست؟
- نحوه محاسبه اضافه کاری در جهان و ایران
- انواع اضافه کاری چیست؟
- مزایا و چالشهای اضافه کاری چیست؟
1# اضافه کاری چیست؟

اضافه کاری به هر ساعتی از کار یک کارمند که از ساعات کاری معمول او فراتر رود، اطلاق میشود.
در حالی که تعریف کلی اضافه کاری صرفاً به ساعاتی اشاره دارد که خارج از برنامه کاری استاندارد انجام میشود، اضافه کاری معمولاً همزمان به پاداش کارمند برای چنین کاری نیز اشاره دارد.
نرخ پرداخت اضافه کاری بین شرکتها و بسته به مشخصات اضافه کاری، مانند تعداد ساعات اضافه کاری انجام شده، متفاوت است.
ساعات کاری معمول را میتوان به چند روش تعیین کرد:
- طبق عرف
- توسط شیوههای یک تجارت یا حرفه معین
- به موجب قانون
- با توافق بین کارفرمایان و کارگران یا نمایندگان آنها
اکثر کشورها، قوانین کار مربوط به اضافه کاری را دارند که برای منصرف کردن یا جلوگیری از مجبور کردن کارفرمایان به کار بیش از حد طولانی مدت کارمندان (مانند وضعیت کارخانههای نساجی در دهه 1920) طراحی شدهاند.
این قوانین ممکن است ملاحظات دیگری غیر از نگرانیهای بشردوستانه، مانند حفظ سلامت کارگران به منظور ادامه بهرهوری آنها یا افزایش سطح کلی اشتغال در اقتصاد را در نظر بگیرند.
یک رویکرد رایج برای تنظیم اضافه کاری، الزام کارفرمایان به پرداخت نرخ ساعتی بالاتر به کارگران برای کار اضافه کاری است.
شرکتها ممکن است تصمیم بگیرند که به کارگران اضافه کاری بالاتری بپردازند، حتی اگر طبق قانون موظف به انجام این کار نباشند، به ویژه اگر معتقد هستند که با منحنی عرضه نیروی کار رو به عقب مواجه هستند.
نرخهای پرداخت اضافه کاری میتواند باعث شود کارگران ساعات طولانیتری نسبت به زمانی که نرخ ساعتی ثابتی داشتند، کار کنند.
قوانین اضافه کاری، نگرشها نسبت به اضافه کاری و ساعات کار از کشوری به کشور دیگر و بین بخشهای مختلف بسیار متفاوت است.
2# علل اهمیت اضافه کاری چیست؟

قوانین اضافه کاری و سیاست اضافه کاری شرکت میتواند به موارد زیر کمک کند:
- حفظ
- بهرهوری
- روحیه
هیچ کارفرمایی نمیخواهد به دلیل رفتار غیراخلاقی با کارمندان درگیر دعوی حقوقی شود؛ رعایت قوانین مربوط به اضافه کاری میتواند به شرکتها کمک کند تا از قانون دور بمانند و نام خوبی برای خود حفظ کنند.
علاوه بر این، رفتار اخلاقی مطابق با قانون، حسن نیت یک شرکت را نسبت به کارمندان خود نشان میدهد.
دریافت غرامت منصفانه برای اضافه کاری میتواند از احساس کم توجهی به پرسنل جلوگیری کند و در عین حال انگیزه کلی آنها را افزایش دهد.
یک سیاست شفاف در مورد اضافه کاری و پایبندی به قوانین دولتی میتواند، جبران اخلاقی اضافه کاری را ارتقا دهد.
برای ایجاد اعتماد و یک رابطه سالم بین کارفرما و کارمند، شرکتها باید از طرف خود در رابطه تجاری حمایت کرده و با صداقت عمل کنند.
در بلندمدت، پیروی از دستورالعملهای اضافه کاری میتواند فرهنگی در شرکت ایجاد کند که رفتار عادلانه و رفتار منصفانه با کارمندان را در اولویت قرار دهد.
برای کارفرمایان، اضافه کاری اگر به دقت کنترل نشود، میتواند بودجه را به شدت هدر دهد.
اضافه کاری پیگیری نشده یا غیرمنتظره ممکن است منجر به:
- افزایش هزینههای حقوق و دستمزد شود.
- در صورت پرداخت ناکافی، مشکلات مربوط به انطباق با قوانین ایجاد میشود.
کارفرمایان میتوانند از یک سیستم ردیابی زمان قابل اعتماد برای شناسایی اضافه کاریهای احتمالی قبل از این که به یک مشکل تبدیل شوند، استفاده کرده و با استفاده از ابزار زمان بندی، برنامههای خود را بر اساس آن برنامه ریزی کنند.
3# راههای بهینه سازی اضافه کاری چیست؟

برای حفظ تجربه مثبت کارکنان و محافظت از جایگاه سازمان، رهبران منابع انسانی باید:
- قوانین را بشناسند: قوانین اضافه کاری در برخی از کشورها بسیار پیچیده است؛ بنابراین توصیه میشود با یک متخصص قانون کار مشورت کنید.
- تصمیم گیری را با بودجه هماهنگ کنند: مدیران منابع انسانی و مالی باید حقوق کارمندان غیر معاف را ارزیابی کنند.
آنها باید تحلیل کنند که آیا پرداخت اضافه کاری به کارگران یا افزایش حقوق آنها فراتر از آستانه اضافه کاری ارزش دارد یا خیر. - به کارمندان اطلاع دهند: کارمندان باید قبل از این که ساعات اضافه کاری را اضافه کنند، مقررات مربوط به اضافه کاری را درک کنند.
گنجاندن سیاست اضافه کاری در دفترچه راهنمای کارمندان و بررسی آن هنگام استخدام میتواند تضمین کند که کارمندان از حقوق و تعهدات خود آگاه هستند. - سیاست اضافه کاری را در قرارداد تعریف کنند: وجود یک سیاست در مورد اضافه کاری شرکت ضروری است.
دستورالعملهای واضح تضمین میکند که هر یک از طرفین در قبال برآورده کردن انتظارات پاسخگو باشند.
مدیران و کارمندان باید قبل از شیفت اضافه کاری با هم ارتباط برقرار کنند و پرسنل در صورت تمایل به اضافه کاری باید از قبل از مدیران تأیید بگیرند.
1-3# بهترین شیوه برای مدیریت اضافه کاری چیست؟
اگر اضافه کاری ارائه میدهید یا سعی میکنید از آن اجتناب کنید، موارد زیر را در نظر بگیرید:
- سیاستهای واضحی تعیین کنید: به کارمندان اطلاع دهید که چه زمانی اضافه کاری مجاز است و آیا نیاز به پیش تأییدیه است یا خیر.
- از ابزار برنامه ریزی استفاده کنید: با برنامه ریزی هوشمند از اضافه کاریهای تصادفی جلوگیری کنید.
- پیگیری ساعات کاری به صورت لحظهای: دقیقاً بدانید هر کارمند در هر هفته چند ساعت کار کرده است.
- بودجه بندی برای اضافه کاری: افزایش ساعات کاری فصلی یا دورههای شلوغی که احتمال ساعات کاری اضافی وجود دارد را در نظر بگیرید.
4# نحوه محاسبه حقوق اضافه کاری در جهان چگونه است؟
فرمول اصلی برای پرداخت اضافه کاری:

برای مثال، اگر یک کارمند ساعتی ۲۰ دلار درآمد داشته باشد و ۴۵ ساعت در هفته کار کند:
- حقوق ثابت = ۴۰ ساعت × ۲۰ دلار = ۸۰۰ دلار
- حقوق اضافه کاری = ۵ ساعت × ۳۰ دلار (۱.۵ × ۲۰ دلار) = ۱۵۰ دلار
- کل پرداخت = ۹۵۰ دلار
اگر یک کارمند برای وظایف مختلف، نرخ ساعتی متفاوتی دریافت میکند، ممکن است لازم باشد نرخ میانگین وزنی برای اضافه کاری را محاسبه کنید.
برخی کشورها قوانین اضافه کاری روزانه نیز دارند، بنابراین قوانین کار محلی را بررسی کنید.
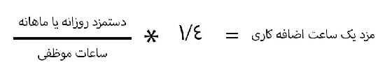
1-4# نحوه محاسبه اضافه کاری در ایران چگونه است؟
کار عادی را با تقسیم دستمزد روزانه یا ماهانه بر ساعات موظفی به دست آورده، سپس این مبلغ را در ضریب 1.4 ضرب کنید تا مزد یک ساعت اضافه کاری مشخص شود.

مراحل محاسبه اضافه کاری:
- محاسبه حقوق ساعتی کار عادی برابر است با کل حقوق ماهانه یا روزانه تقسیم بر ساعات موظفی ماهانه
- محاسبه مبلغ اضافه کاری هر ساعت اضافه کاری برابر است با حقوق ساعتی کار عادی ضرب در 1.4
نکات مهم:
- حقوق پایه و سایر مزایا مانند حق مسکن نیز در محاسبه حقوق ساعتی عادی و اضافه کاری در نظر گرفته میشود.
- اضافه کاری به دلیل اختیاری نبودن آن نسبت به ساعات موظفی، با ضریب ۱.۴ محاسبه میشود، یعنی ۴۰ درصد بیشتر از دستمزد ساعت کار عادی.
- حداکثر ساعات مجاز برای انجام اضافه کاری در روز چهار ساعت است.
- ساعات اضافه کاری جز سوابق کارگران برای حق بیمه به حساب نمیآید.
5# انواع اضافه کاری

در این بخش به بررسی انواع اضافه کاری میپردازیم.
1-5# اضافه کاری منظم
اضافه کاری منظم به ساعات اضافی کار شده توسط یک کارمند فراتر از برنامه کاری منظم خود اشاره دارد که معمولاً با نرخ بالاتری جبران میشود.
با افزایش ساعات کاری انعطاف پذیر، کارمندان بیشتری از فرصت کار کردن در ساعات اضافی برای رسیدن به اهداف مالی یا انجام تعهدات شخصی خود استفاده میکنند.
با این حال، برای کارفرمایان و کارمندان مهم است که مقررات اضافه کاری در کشورهای مربوطه خود را درک کنند تا از رعایت آنها مطمئن شده و از بروز هرگونه مشکل قانونی جلوگیری شود.
مقررات اضافه کاری از یک حوزه قضایی به حوزه قضایی دیگر متفاوت بوده و ممکن است شامل قوانینی در مورد حداکثر ساعات کار در یک روز یا هفته، حداقل دوره استراحت بین شیفتها و نرخ جبران اضافه کاری باشد.
2-5# اضافه کاری تضمین نشده
اضافه کاری بدون تضمین، زمانی است که کارفرما ممکن است اضافه کاری را به کارمند پیشنهاد دهد یا ندهد؛ اما وقتی این پیشنهاد داده میشود، کارمند باید آن را بپذیرد.
به عنوان مثال، یک کارفرما میداند که احتمالاً کسب و کار او در زمانهای خاصی از سال شلوغتر خواهد بود؛ اما دقیقاً نمیداند که برای تکمیل کار به چه میزان اضافه کاری نیاز خواهد بود.
قرارداد کارمند شامل این نکته میشود که در صورت نیاز، او باید ساعات اضافی کار کند.
به عنوان مثال، اضافه کاری معقول ممکن است هر از گاهی، مطابق با نیازهای کسب و کار، مورد نیاز باشد.
3-5# اضافه کاری اجباری و حقوق کارمندان
کارمندان شما فقط در صورتی نیاز به اضافه کاری دارند که در قراردادشان ذکر شده باشد.
اگر به کارمندانی نیاز دارید که اضافه کاری کنند، باید مفاد اضافه کاری اجباری را در شرایط و ضوابط آنها بگنجانید.
در مواردی که کارمندان به عنوان بخشی از قراردادشان ملزم به اضافه کاری هستند، باید از مقررات زمان کار (WTR) پیروی کنید.
WTR بیان میکند که کارمندان مجبور نیستند بیش از ۴۸ ساعت در هفته، به طور متوسط در طول ۱۷ هفته، کار کنند.
کارمندان میتوانند بیش از ۴۸ ساعت در هفته کار کنند؛ اما باید یک توافق کتبی و امضا شده داشته باشند.
4-5# اضافه کاری داوطلبانه
اضافه کاری داوطلبانه زمانی است که شما از کارمند خود میخواهید اضافه کاری کند و او آزاد است که نه بگوید.
دلیلش این است که هیچ الزامی در قرارداد برای شما وجود ندارد که اضافه کاری پیشنهاد دهید یا کارمند شما آن را بپذیرد.
اضافه کاری داوطلبانه به کارمندان این امکان را میدهد که به دلخواه خود، ساعات بیشتری فراتر از برنامه منظم خود کار کرده و فرصتهایی برای افزایش درآمد و رشد حرفه ای خود فراهم کنند.
این نوع اضافه کاری برای کارمندانی که انگیزه کسب درآمد اضافی یا پیشرفت شغلی دارند، مفید است.
یکی از مزایای اصلی اضافه کاری داوطلبانه، پتانسیل افزایش درآمد است.
با کار کردن در ساعات اضافی، کارمندان میتوانند حقوق اضافه کاری یا پاداش اضافی دریافت کنند که درآمد آنها را به میزان قابل توجهی افزایش میدهد.
این امر به ویژه برای کسانی که به دنبال پس انداز پول، پرداخت بدهی یا دستیابی به اهداف مالی هستند، مفید است.
اضافه کاری داوطلبانه همچنین فرصتهایی را برای رشد حرفه ای فراهم میکند.
با پذیرفتن مسئولیتهای اضافی و وظایف چالش برانگیز، کارمندان میتوانند مهارتهای خود را ارتقا داده و تجربه خود را گسترش دهند.
با این حال، اضافه کاری داوطلبانه معایب بالقوهای دارد که کارمندان باید در نظر بگیرند.
یکی از نگرانیهای اصلی، خطر فرسودگی شغلی است.
کار کردن بیش از حد در ساعات کاری میتواند منجر به خستگی جسمی و روحی شود که ممکن است بر رفاه و بهره وری کارمند تأثیر منفی بگذارد.
برای کارمندان بسیار مهم است که بین کار و زندگی شخصی خود تعادل برقرار کنند تا از فرسودگی شغلی جلوگیری شود.
یکی دیگر از معایب بالقوه، تأثیر بر تعادل کار و زندگی است.
اضافه کاری داوطلبانه ممکن است کارمندان را ملزم به گذراندن زمان بیشتری در محل کار کند که میتواند منجر به زمان کمتری برای فعالیتهای شخصی، سرگرمیها و خانواده شود.
5-5# اضافه کاری تضمین نشده
در مورد اضافه کاری تضمین نشده، شما مجبور به ارائه اضافه کاری نیستید؛ اما اگر این کار را انجام دهید، کارمند شما باید کار کند؛ زیرا آنها ملزم به رعایت شرایط قرارداد خود هستند.
6-5# پرداخت اضافه کاری
شما از نظر قانونی موظف نیستید که به کارمندان خود برای اضافه کاری حقوق پرداخت کنید.
با این حال، باید مطمئن شوید که میانگین حقوق کارمندان شما برای کل ساعات کار از حداقل دستمزد کمتر نشود.
تصمیم برای پرداخت اضافه کاری به عهده کارفرما است.
اگر تصمیم به پرداخت اضافه کاری دارید، میتوانید نرخ آن را نیز تعیین کنید، البته تا زمانی که برابر یا بالاتر از حداقل دستمزد باشد.
توجه به این نکته مهم است که باید به هر شرایط اضافه کاری که در قرارداد کارمند خود گنجانده اید، پایبند باشید.
7-5# مرخصی به جای کار
برخی از کارفرمایان به جای پرداخت اضافه کاری به کارمندان، به آنها مرخصی به جای کار ارائه میدهند.
شما باید با کارمند خود به توافق برسید تا شرایط را مشخص کنید، مانند این که چه زمانی باید مرخصی گرفته شود؟
مرخصی جبرانی نوعی جبران خسارت است که به کارمندان برای ساعات اضافی کار فراتر از برنامه عادی ارائه میشود و به آنها اجازه میدهد به جای دریافت حقوق اضافه کاری، مرخصی بگیرند.
این نوع ترتیبات مزایای متعددی را هم برای کارمندان و هم برای کارفرمایان ارائه میدهد.
از دیدگاه یک کارمند، مرخصی جبرانی فرصتی برای دستیابی به تعادل بهتر بین کار و زندگی و تجدید قوا فراهم میکند.
این امر به آنها اجازه میدهد تا استراحت کرده و به کارهای شخصی خود بپردازند یا در فعالیتهایی شرکت کنند که باعث بهبود رفاه میشود.
ارائه مرخصی جبرانی میتواند، روحیه و رضایت کارکنان را افزایش دهد و به افزایش بهره وری و کاهش جابجایی شغلی بیانجامد.
علاوه بر این، میتواند جایگزین مقرون به صرفهای برای پرداخت دستمزد اضافه کاری باشد، به خصوص در صنایعی که اضافه کاری رایج است.
8-5# پرداخت اضافه کاری و تعطیلات
اخیراً احکام دادگاهی صادر شده که هنگام محاسبه حقوق مرخصی مربوط به اضافه کاری باید آنها را در نظر بگیرید.
موضع فعلی کارگران و کارمندان این است که حقوق تعطیلات باید شامل موارد زیر باشد:
- اضافه کاری تضمینی و اجباری
- اضافه کاری اجباری بدون ضمانت
- اضافه کاری داوطلبانه
مسائل مربوط به پرداخت تعطیلات و اضافه کاری ممکن است با نزدیک شدن به زمان تصمیم گیری دادگاه تجدیدنظر اشتغال در مورد یک پرونده در حال بررسی، روشنتر شود.
6# شرایط اضافه کاری برای کارگران مختلف

شرایط اضافه کاری که در مورد انواع مختلف کارگران باید در نظر گرفته شود، به صورت زیر است:
1-6# کارگران پاره وقت
به جز مواردی که قرارداد کارگران پاره وقت شرایط متفاوتی دارد، معمولاً در صورت وجود شرایط زیر، اضافه کاری باید پرداخت شود:
- آنها ساعات بیشتری نسبت به تعداد ذکر شده در قراردادشان کار کنند.
- بیشتر از ساعات کاری کارکنان تمام وقت کار کرده، در حالی که این کارکنان برای کار در این ساعات اضافی، اضافه کاری دریافت میکنند.
- این کار در ساعات غیراجتماعی (کار در اواخر شب) انجام شود که در غیر اینصورت باید مبلغ اضافی برای آن به کارمند تمام وقت پرداخت کنید.
2-6# کارگران موقت
کارگر موقت پس از ۱۲ هفته کار، از همان شرایط و ضوابط اساسی سایر کارمندان برخوردار است.
این کار، رفتار برابر نامیده میشود و حقوقی از جمله موارد زیر را به همراه دارد:
- دریافت حقوقی برابر با یک فرد دائمی با همان نقش
- پرداخت اضافه کاری
- مرخصی سالانه با حقوق
7# مزایا و چالشهای اضافه کاری چیست؟

در این بخش به بررسی مزایا و چالشهای اضافه کاری میپردازیم.
1-7# مزایای اضافه کاری چیست؟
ارائه اضافه کاری میتواند، مزایای متعددی را هم برای کارفرمایان و هم برای کارمندان به همراه داشته باشد.
برخی از مزایای اصلی ارائه اضافه کاری عبارت اند از:
- افزایش بهره وری: ارائه اضافه کاری میتواند به کارفرمایان این امکان را بدهد که در مواجهه با افزایش ناگهانی تقاضا برای محصولات یا خدمات خود، بهره وری و خروجی را افزایش دهند.
- انعطاف پذیری بیشتر: اضافه کاری میتواند انعطاف پذیری بیشتری را برای کارفرمایان و کارمندان فراهم کند و به آنها اجازه دهد برنامههای خود را برای برآورده کردن نیازهای متغیر تجاری تنظیم کنند.
- افزایش رضایت کارکنان: ارائه اضافه کاری میتواند، راهی برای نشان دادن این موضوع باشد که سخت کوشی و فداکاری آنها ارزشمند و مورد قدردانی است.
- بهبود حفظ کارکنان: با ارائه اضافه کاری، کارفرمایان میتوانند به حفظ کارکنان ارزشمندی که ممکن است در نظر داشته باشند، شغل خود را ترک کنند و به دنبال شغلی باشند که فرصتهای بیشتری برای اضافه کاری و حقوق بالاتر ارائه میدهد، کمک کنند.
- رعایت قوانین کار: در بسیاری از کشورها، کارفرمایان طبق قانون موظف هستند به کارمندانی که فراتر از ساعات کاری معمول خود کار میکنند، اضافه کاری پرداخت کنند.
2-7# چالشهای اضافه کاری چیست؟
اگرچه مدیریت اضافه کاری میتواند مزایای متعددی داشته باشد؛ اما ممکن است چالشهای زیادی را نیز برای متخصصان منابع انسانی ایجاد کند.
برخی از مشکلاتی که هنگام مدیریت اضافه کاری ممکن است ایجاد شود، عبارت اند از:
- سواستفاده از اضافه کاری: کارمندان ممکن است با مطالبه ساعات کاری بیشتر از آنچه واقعاً کار کردهاند، از سیستم اضافه کاری سواستفاده کنند که این امر میتواند منجر به ثبت نادرست زمان و افزایش هزینههای سازمان شود.
- فرسودگی شغلی کارکنان: اگر کارمندان مرتباً ملزم به اضافه کاری باشند، این امر میتواند منجر به فرسودگی شغلی و کاهش رضایت شغلی شود که در نهایت میتواند بر بهره وری و حفظ کارکنان تأثیر بگذارد.
- انطباق با قوانین: مدیریت اضافه کاری میتواند پیچیده باشد، به خصوص وقتی که بحث انطباق با قوانین و مقررات کار مطرح باشد.
- بار اداری: مدیریت اضافه کاری میتواند برای متخصصان منابع انسانی یک بار اداری باشد، به خصوص اگر آنها درخواستهای اضافه کاری را به صورت دستی پیگیری و تأیید کنند.
- مدیریت هزینه: ارائه اضافه کاری میتواند پرهزینه باشد، به خصوص اگر با نرخ دستمزد بالاتر یا با سایر مزایا ارائه شود.
نظرتون درباره این مقاله چیه؟
ما رو راهنمایی کنید تا اون رو کامل تر کنیم و نواقصش رو رفع کنیم.
توی بخش دیدگاه ها منتظر پیشنهادهای فوق العاده شما هستیم.
