خودالقاوری، خودالقایی یا اندوکتانس، یک مفهوم برجسته در مطالعه الکترومغناطیس، در مورد یک سیم پیچ یا مدار با جریان متغیر و توانایی آن در القای EMF (نیروی محرکه الکتریکی) که با EMF اولیه تشکیل شده در سیم پیچ یا مدار مخالفت کرده، صحبت میکند.
فیزیکدان آمریکایی، جوزف هنری، اولین کسی بود که مفهوم خودالقاوری را به جهان معرفی کرد.
واحد اندوکتانس به افتخار او نامگذاری شده است.
مفهوم خودالقاوری را میتوان در کاربرد آن در یک سیم پیچ سلونوئیدی یا یک مدار RL یافت.
خودالقاوری به عواملی مانند طول سیم پیچ، هندسه و محیط مورد استفاده بستگی دارد.
در این مقاله به بررسی خودالقاوری، نحوه عملکرد، عوامل مؤثر، نحوه محاسبه، کاربردها و نقش خودالقاوری در مدارهای الکتریکی و سیستمهای القایی خواهیم پرداخت.
1# خودالقاوری چیست؟

خودالقاوری تمایل یک هادی الکتریکی برای مخالفت با تغییر جریان الکتریکی عبوری از آن است.
جریان الکتریکی، یک میدان مغناطیسی در اطراف هادی تولید میکند.
قدرت میدان مغناطیسی به بزرگی جریان الکتریکی بستگی دارد و بنابراین از هرگونه تغییر در بزرگی جریان پیروی میکند.
طبق قانون القای فارادی، هرگونه تغییر در میدان مغناطیسی از طریق یک مدار، یک نیروی محرکه الکتریکی در اجسام رسانا القا میکند، فرآیندی که به عنوان القای الکترومغناطیسی شناخته میشود.
این ولتاژ القایی ایجاد شده توسط جریان در حال تغییر، اثر مخالفت با تغییر جریان را دارد.
این موضوع توسط قانون لنز بیان شده است و ولتاژ EMF معکوس نامیده میشود.
خودالقاوری به عنوان نسبت ولتاژ القایی به نرخ تغییر جریان ایجاد کننده آن تعریف میشود که یک ثابت تناسب است و به هندسه اجسام هادی مدار (مثلاً سطح مقطع و طول)، نفوذپذیری مغناطیسی جسم هادی و مواد مجاور بستگی دارد.
یک قطعه الکترونیکی که برای اضافه کردن خودالقاوری به یک مدار طراحی شده، سلف نامیده میشود.
معمولاً از یک سیمپیچ یا مارپیچ سیمی تشکیل شده است.
در مطالعه فیزیک، برخی حقایق شناخته شده به ما کمک میکنند تا مفهوم خودالقاوری را درک کنیم.
این حقایق عبارت اند از:
- یک سیم پیچ یا مدار حامل جریان، میدان مغناطیسی تولید میکند.
- با تغییر در خطوط میدان مغناطیسی که به یک سیم پیچ یا مدار متصل هستند، القای الکترومغناطیسی باعث ایجاد یک EMF در سیم پیچ یا مدار میشود.
- در نتیجه، هر زمان که یک سیم پیچ یا مدار حامل جریان، تغییری در شارش جریان الکتریکی تجربه کند، یک نیروی محرکه الکتریکی خودالقایی (EMF) تولید میشود.
خودالقاوری پدیده ای است که در آن یک EMF خودالقایی تولید میشود که در برابر هرگونه تغییر در وضعیت الکتریکی یک سیم پیچ یا یک مدار مقاومت میکند.
1-1# خودالقاوری متقابل دو سیم مستقیم موازی
دو حالت قابل بررسی است:
- جریان در هر سیم در یک جهت حرکت میکند.
- جریان در سیمها در جهتهای مخالف حرکت میکند.
جریانهای موجود در سیمها لزوماً برابر نیستند، هرچند اغلب برابر هستند، مانند مورد یک مدار کامل که در آن یک سیم منبع و دیگری برگشت است.
2-1# خودالقاوری متقابل دو حلقه سیم
این حالت تعمیم یافته سیم پیچ استوانهای دو حلقهای نمونهای است که جریان فرکانس پایین یکنواختی را حمل میکند؛ حلقهها مدارهای بسته مستقلی هستند که میتوانند طولهای مختلف، هر جهت گیری را در فضا داشته باشند و جریانهای مختلفی را حمل کنند.
با این وجود، عبارات خطا که در انتگرال لحاظ نمیشوند، تنها در صورتی کوچک هستند که هندسه حلقهها عمدتاً صاف و محدب باشد؛ آنها نباید:
- پیچ خوردگی
- گوشههای تیز
- سیم پیچ
- تقاطع
- بخشهای موازی
- حفرههای مقعر
- یا سایر تغییر شکلهای توپولوژیکی بسته
زیادی داشته باشند.
یک محمول ضروری برای کاهش فرمول انتگرال گیری منیفولد سه بعدی به یک انتگرال منحنی دوگانه این است که مسیرهای جریان، مدارهای رشته ای باشند، یعنی سیمهای نازکی که شعاع سیم در مقایسه با طول آن ناچیز است.
3-1# واحد خودالقایی
در سیستم SI، واحدهای خودالقایی را میتوان به صورت زیر بدست آورد:
- ۱ ولت، آمپر بر ثانیه، معادل ۱ هانری است.
اگر شار مغناطیسی متصل به یک سیم پیچ یا یک مدار، به دلیل جریان یک آمپر در همان سیم پیچ یا مدار، برابر با یک باشد، گفته میشود که یک سیم پیچ یا مدار دارای خودالقاوری یک هانری است یا وقتی جریان یک سیم پیچ یا مدار با سرعت ۱ آمپر در ثانیه تغییر کند و نیروی محرکه القایی ایجاد شده در آن برابر با یک ولت باشد، گفته میشود که خودالقاوری آن یک هانری است.
4-1# آیا میتوان خودالقاوری صفر یا منفی داشت؟
میتوان خودالقاوری صفر داشت. مقاومت هر سلف معین برابر با نسبت ولتاژ به جریان عبوری از آن است.
از این رو، وقتی مقدار مقاومت (R) صفر باشد، خودالقاوری (L) بی نهایت میشود.
بنابراین، اگر یک سیم پیچ القایی باز باشد، L و R آن به ترتیب بی نهایت و صفر میشوند.
خودالقاوری صفر عموماً به این معنا است که هیچ ناحیه ای وجود ندارد که در آن شار الکتریکی ایجاد شود.
یا به عبارت دیگر، رلوکتانس بی نهایت وجود دارد. رلوکتانس بی نهایت به این معنا است که در ایجاد MMF مقاومت بی نهایت وجود دارد، از این رو خود شار نمیتواند در آن ناحیه وجود داشته باشد.
خودالقاوری منفی، ظرفیت خازنی است.
در یک فرکانس ثابت، خودالقاوری منفی را میتوان به عنوان یک خازن در نظر گرفت که امپدانس مشابه سلف اما با فاز مخالف را ارائه میدهد.
2# نحوه عملکرد خودالقاوری

نیروی محرکه الکتریکی (EMF) تولید شده در طول فرآیند خودالقاوری در سیم پیچ، متناسب با تغییر جریان الکتریکی در همان سیم پیچ است.
نحوهی عملکرد خودالقاوری را میتوان در مراحل زیر شرح داد:
- وقتی جریان الکتریکی (I) در یک سیم پیچ یا مدار جریان مییابد، مقداری شار الکتریکی (𝛟) در داخل سیم پیچ تولید میشود.
- در آن لحظه از پدیده خودالقاوری، نیروی محرکه القایی (EMF) تولید شده در داخل همان سیم پیچ با نرخ تغییر جریان در سیم پیچ مخالفت میکند.
- برای سلولهای DC، وقتی کلید روشن است، یعنی زمانی که زمان (t) دقیقاً برابر با 0+ است، جریان از مقدار صفرم خود به مقدار مشخصی جاری میشود.
در مورد زمان، یک نرخ تغییر در جریان به صورت لحظهای وجود خواهد داشت، یعنی (di ∕ dt). - جریان، خطوط میدان مغناطیسی را از طریق سیم پیچ تولید میکند.
با تغییر مقدار جریان از صفر به مقدار مشخصی، شار مغناطیسی (𝛟) با زمان تغییر میکند، یعنی (d𝛟 ∕ dt).
3# چه عواملی بر خودالقاوری تأثیر میگذارند؟

عواملی که بر ثابت خودالقاوری L تأثیر میگذارند به شرح زیر هستند:
- هندسه سیم پیچ: احتمالاً خطوط میدان مغناطیسی بیشتری توسط چیدمانی با ساختار سیم پیچ به دام میافتند تا یک ساختار مستقیم.
- واسطه بین سیم پیچها: وقتی از یک ماده فرومغناطیسی عایق بندی شده به عنوان ماده هسته سیم پیچ استفاده میشود، خطوط میدان مغناطیسی اضافی احتمالاً به هم متصل میشوند.
در نتیجه، ضریب خودالقاوری افزایش مییابد. - طول سیم پیچ: یک سیم پیچ بلندتر، شار مغناطیسی (ɸ) کمتری نسبت به سیم پیچ با طول کوتاه تر القا میکند.
4# محاسبه خودالقاوری
برای محاسبه خودالقاوری یک رسانا، مانند یک سیم پیچ، میتوانید از فرمول زیر استفاده کنید:

که در آن:
- L = اندوکتانس برحسب هانری
- N = تعداد دورهای سیم پیچ
- μ = نفوذپذیری ماده هسته برحسب هانری بر متر
- A = سطح مقطع هسته برحسب متر مربع
- l = طول سیم پیچ برحسب متر
نفوذپذیری (μ) خاصیتی از ماده هسته است که نشان میدهد چقدر آسان میتوان آن را مغناطیسی کرد.
این ضریب حاصل ضرب نفوذپذیری فضای آزاد (μ0) و نفوذپذیری نسبی (μr) ماده است:

که در آن:
- μ0: نفوذپذیری فضای آزاد
- تقریباً 4 = μr
- نفوذپذیری نسبی ماده (بدون بعد) π x 10^-7 H/m
برای محاسبه اندوکتانس یک سیم پیچ یا سلف، مراحل زیر را دنبال کنید:
- تعداد دورهای سیم پیچ (N) را تعیین کنید.
- جنس هسته را مشخص کنید و نفوذپذیری نسبی آن (μr) را بیابید. برای کویلهای هسته هوایی یا کویلهایی با مواد غیرمغناطیسی، μr تقریباً برابر با ۱ است.
- نفوذپذیری ماده هسته (μ) را با استفاده از فرمول زیر محاسبه کنید:

- سطح مقطع (A) هسته را بر حسب متر مربع (m^2) اندازه بگیرید.
- طول (l) سیم پیچ را بر حسب متر (m) اندازه گیری کنید.
- این مقادیر را در فرمول جایگذاری کنید:

- اندوکتانس (L) را بر حسب هانری (H) محاسبه کنید.
به خاطر داشته باشید که این فرمول عمدتاً برای سلفهای سلونوئیدی شکل با سطح مقطع یکنواخت و دورهای با فاصله مساوی اعمال میشود.
برای هندسههای دیگر، محاسبه ممکن است پیچیدهتر باشد و ممکن است برای تخمین دقیق خودالقاوری به فرمولهای تخصصی یا روشهای عددی، مانند تحلیل المان محدود، نیاز داشته باشد.
1-4# سیم تکی مستقیم
در عمل، سیمهای بلندتر، خودالقاوری بیشتری دارند و سیمهای ضخیمتر، خودالقاوری کمتری دارند، مشابه مقاومت الکتریکی ای که دارند. (اگرچه این روابط خطی نیستند و از نظر نوع با روابطی که طول و قطر با مقاومت دارند، متفاوت هستند.)
جدا کردن سیم از سایر قسمتهای مدار، خطای اجتناب ناپذیری را در نتایج هر فرمولی ایجاد میکند.
این خودالقاوری اغلب به عنوان خودالقاوری جزئی نامیده میشوند، تا حدی برای در نظر گرفتن سایر عوامل مؤثر بر خودالقاوری کل مدار است که حذف شدهاند.
1) فرمولهای کاربردی
خودالقاوری کل فرکانس پایین (داخلی به علاوه خارجی) یک سیم مستقیم برابر است با:

که در آن:
- خودالقاوری فرکانس پایین یا DC بر حسب نانوهنری nH است.
- طول سیم بر حسب متر است.
- شعاع سیم بر حسب متر است. (بنابراین یک عدد اعشاری بسیار کوچک است.)
- ثابت 200 نفوذپذیری فضای آزاد است.
- ثابت ۰.۷۵ تنها یک مقدار پارامتر در میان چندین پارامتر دیگر است؛ محدودههای فرکانسی مختلف، شکلهای مختلف یا طولهای بسیار طولانی سیم به ثابتی کمی متفاوت نیاز دارند.
- برای فرکانسهای به اندازه کافی بالا، اثرات موجود باعث میشوند، جریانهای داخلی از بین بروند و فقط جریانها روی سطح رسانا باقی بمانند.
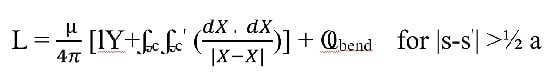
2-4# حلقه سیم
به شکل رسمی، خودالقاوری یک حلقه سیمی با معادله بالا به صورت زیر داده میشود:

با این حال، اینجا بی نهایت میشود و منجر به یک انتگرال واگرای لگاریتمی میشود.
این امر مستلزم در نظر گرفتن شعاع سیم محدود است و توزیع جریان در سیم در نظر گرفته شود.
سهم انتگرال روی همه نقاط و یک جمله اصلاحی باقی میماند
که در آن:
- s و s‘ فواصلی در امتداد منحنیهای C و C‘ هستند.
- a شعاع سیم است.
- l طول سیم است.
- Y ثابتی است که به توزیع جریان در سیم بستگی دارد:
- Y = 0 وقتی جریان از سطح سیم عبور میکند.
- Y = ½ وقتی جریان به صورت مساوی در سطح مقطع سیم قرار دارد.
- Ҩbend یک عبارت خطا است که اندازه آن به منحنی حلقه بستگی دارد.
هر دو وقتی سیم در مقایسه با شعاع خود بلند باشد، کوچک هستند.
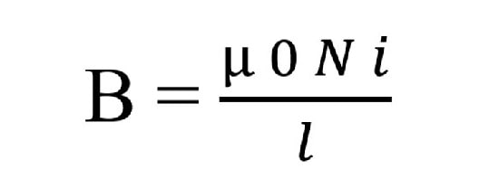
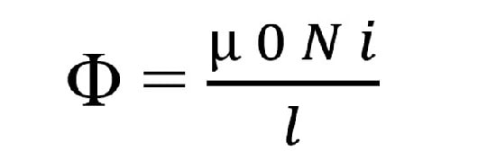
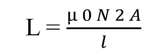
3-4# سلونوئید
سلونوئید یک سیم پیچ بلند و نازک است؛ یعنی سیم پیچی که طول آن بسیار بیشتر از قطر آن است.
B تحت این شرایط و بدون استفاده از هیچ ماده مغناطیسی، چگالی شار مغناطیسی بدرون سیم پیچ عملاً ثابت است و به صورت زیر داده میشود:

که در آن:
- N تعداد چرخشها، i جریان و l طول سیم پیچ است؛ با صرف نظر از اثرات انتهایی، شار مغناطیسی کل عبوری از سیم پیچ با ضرب چگالی شار در B توسط سطح مقطع A.

از این رو نتیجه میشود که خودالقاوری یک سلونوئید از رابطه زیر بدست میآید:

بنابراین، برای کویلهای هسته هوا، خودالقاوری تابعی از هندسه کویل و تعداد دورها بوده و مستقل از جریان است.
4-4# کویلهای چندلایه
بیشتر سلفهای کاربردی با هسته هوایی، کویلهای استوانهای چند لایه با سطح مقطع مربعی هستند تا فاصله متوسط بین دورها به حداقل برسد. (مقطعهای دایرهای بهتر هستند؛ اما شکل دهی آنها دشوارتر است.)
5# کاربردها و موارد استفاده خودالقاوری

خودالقایی یک اثر فیزیکی است و اجزای اصلی که در آن استفاده میشود، سلف و تا حدودی ترانسفورماتور هستند.
سلفها به خودی خود چندان مفید نیستند؛ مگر این که با مقاومت یا خازن ترکیب شوند.
به عنوان مثال، ترکیب یک سلف با یک خازن میتواند یک مدار رزونانس ایجاد کند که در فیلترهای آنالوگ یا نوسان سازها استفاده میشود.
سلفها میتوانند برای جبران خازنهای خط انتقال استفاده شوند.
به شکل مشابه، یک ترانسفورماتور بیشتر زمانی از خودالقاوری استفاده میکند که در سمت بار و تحت بار نباشد؛ در این حالت، خودالقاوری جریان عبوری از سیم پیچهای اولیه ترانسفورماتور را محدود میکند.
وقتی ترانسفورماتور به درستی بارگذاری شود، خودالقاوری اهمیت کمتری پیدا میکند.
از جمله کاربردهای خودالقاوری میتوان به موارد زیر اشاره کرد:
- به چراغهای راهنمایی اجازه میدهد تا وسایل نقلیه منتظر در تقاطع خیابان را حس کنند.
- به فلزیابها اجازه میدهد تا فلز را هنگام عبور فرد از آن تشخیص دهند.
- به یک چوک در مدار فرکانس رادیویی اجازه میدهد تا با هرگونه تغییر در جریان مخالفت کند و جریان مستقیم را از خود عبور دهد.
6# نقش خودالقاوری در مدارهای الکتریکی و سیستمهای القایی چیست؟

خودالقاوری در مدار الکتریکی معادل جرم یا اینرسی در سیستم مکانیکی است.
همانگونه که اینرسی با هرگونه تغییر حرکت مکانیکی مخالفت میکند، به گونهای مشابه وجود خودالقایی در برابر هرگونه تغییر جریان مقاومت ایجاد میکند.
هنگامی که جریانی از یک سیم عبور میکند، یک میدان مغناطیسی در اطراف آن سیم تولید میشود که قدرت میدان آن متناسب با قدرت جریان است و با تغییر جریان تغییر میکند.
ما همچنین میدانیم که یک میدان مغناطیسی متغیر، متناسب با قدرت میدان و سرعت تغییر آن، ولتاژی را روی سیم القا میکند.
بنابراین، اگر سیمی داشته باشیم که جریان متغیری از آن عبور میکند، آنگاه یک میدان مغناطیسی متغیر در اطراف خود تولید میکند.
این میدان مغناطیسی متغیر، ولتاژی را در همان سیم القا میکند؛ اما این ولتاژ القایی قطبیت مخالف ولتاژ جریان اعمالی اولیه خواهد داشت.
از آنجایی که ولتاژ القایی با ولتاژ یا جریان اعمال شده مخالف بوده، اثر ظاهری، افزایش امپدانس (مقاومت مختلط یا مقاومت با زاویه فاز) است و از آنجایی که قدرت ولتاژ القایی متناسب با فرکانس ولتاژ یا جریان اعمال شده افزایش مییابد (زیرا فرکانس، نرخ تغییر است)، امپدانس سلف با فرکانس افزایش مییابد.
خودالقاوری یک سلف، معیاری از این اثر خودالقایی است. خودالقاوری با پیچاندن سیم به دور خود افزایش مییابد، به گونهای که همه سیم پیچها در میدان مغناطیسی یکسانی مشارکت داشته و آن را به اشتراک بگذارند.
پیچیدن سیم پیچها به دور یک هسته با نفوذپذیری مغناطیسی و با متمرکز کردن میدان مغناطیسی، خودالقاوری را نیز افزایش میدهد.
1-6# نقش خودالقاوری در کاربردهای الکتریکی

خودالقاوری نقش حیاتی در کاربردهای مختلف الکتریکی و الکترونیکی ایفا میکند، از جمله:
1) سلفها
سلفها قطعات الکترونیکی غیرفعالی هستند که به شکلی خاص برای داشتن مقدار مشخصی از خودالقاوری طراحی شدهاند.
آنها معمولاً به صورت سیم پیچهایی ساخته میشوند که به دور یک هسته ساخته شده از هوا، فریت یا سایر مواد مغناطیسی پیچیده شدهاند.
سلفها در کاربردهای مختلفی مانند فیلتر کردن، ذخیره انرژی و تطبیق امپدانس در مدارها استفاده میشوند.
2) ترانسفورماتورها
ترانسفورماتورها دستگاههایی هستند که از اصل القای الکترومغناطیسی و خودالقاوری متقابل برای انتقال انرژی الکتریکی بین دو یا چند سیم پیچ در سطوح ولتاژ مختلف استفاده کرده و در عین حال ایزولاسیون الکتریکی را فراهم میکنند.
3) ذخیره انرژی
سلفها میتوانند انرژی را در میدان مغناطیسی خود ذخیره کنند.
این قابلیت ذخیره انرژی در مدارهای الکترونیکی مختلف، مانند منابع تغذیه سوئیچینگ و دستگاههای جمع آوری انرژی، ضروری است.
4) نوسان سازها و مدارهای رزونانس
خودالقاوری، در ترکیب با ظرفیت خازنی، اساس نوسان سازها و مدارهای رزونانس را تشکیل میدهد.
این مدارها برای تولید و فیلتر فرکانسهای خاص در سیستمهای ارتباطی، پردازش سیگنال و سایر کاربردها استفاده میشوند.
5) سازگاری الکترومغناطیسی (EMC)
خودالقاوری نقش مهمی در مدیریت تداخل الکترومغناطیسی (EMI) و تضمین سازگاری الکترومغناطیسی (EMC) در سیستمهای الکترونیکی ایفا میکند.
سلفها و ترانسفورماتورها میتوانند برای سرکوب یا فیلتر کردن سیگنالها و نویزهای ناخواسته استفاده شوند و در نتیجه عملکرد و قابلیت اطمینان دستگاههای الکترونیکی را بهبود بخشند.
نظرتون درباره این مقاله چیه؟
ما رو راهنمایی کنید تا اون رو کامل تر کنیم و نواقصش رو رفع کنیم.
توی بخش دیدگاه ها منتظر پیشنهادهای فوق العاده شما هستیم.
